Sprache

Die freie und offene Büro-Software
Verfügbar: Apache OpenOffice 4.1.16
[zurück] [Hauptmenü] [weiter]

OpenOffice.org Formel

06 - spezielle Operatoren

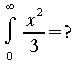
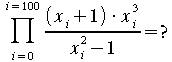
Die folgenden Beispiele sollen zeigen, wie man das Integralzeichen, das Summationszeichen und das Produktzeichen verwenden kann.

Kommando-Eingabefeld Formel
int from {0} to {infinity } {x^2 over 3}="?"
int from {0} to {infinity } {x^2 over 2}
sgn(%sigma) cdot sum from {%sigma in %PHI} {1 over {1-aleph_%sigma^2}}
sgn(%sigma) cdot sum from {%sigma in %PHI} {1 over {1-aleph_%sigma^2}}
prod from {i=0} to {i=100} {{(x_i+1) cdot x_i^3} over {x_i^2-1}}="?"
prod from {i=0} to {i=100} {{(x_i+1) cdot x_i^3} over {x_i^2-1}}="?"

 


[zurück] [Hauptmenü] [weiter]

© Copyright 2003, Harald Schilly

This documentation is part of "Erste Schritte: OpenOffice.org Textdokument", which is released under the terms of the PDL.
For full copyright and license info read the index page.

The ASF

Copyright & License | Privacy | Contact Us | Donate | Thanks

Apache, OpenOffice, OpenOffice.org and the seagull logo are registered trademarks of The Apache Software Foundation. The ASF logo is a trademark of The Apache Software Foundation. Other names appearing on the site may be trademarks of their respective owners.